The Gilbert 2022 gubernatorial contest lawsuit

We can now add Gilbert's 25% line, and it becomes clear why the data supports both:

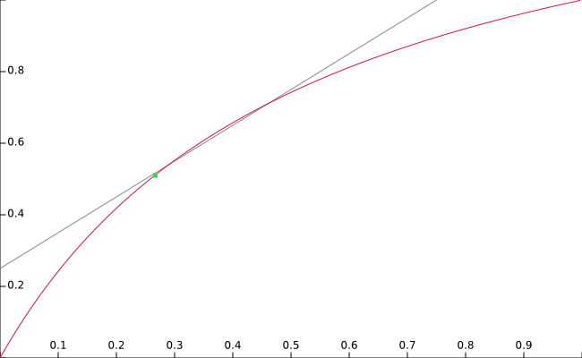
Gilbert's allegation that a fair election requires this graph to be a straight line is a geometric error, and claimed "illegally".

Thanks for putting this example together, Mendel. If someone can tell me how to do parameters (preferably with sliders) in Geogebra, I can put together an interactive version so that it can be verified that whenever one side's voters avoids mail-in voting, the non-mail-in vs. mail-in plot will have the deviation you show from the nonsense y=ax+0 claim. Of course, outliers being rare, and the curve being quite gentle, seeing the curve in real data is rare, so he's not out of line to approximate the data he sees to a straight line. Just not the straight line he claims

up_and_to_the_left.png

The deviaton is pretty clear - as I wrote in post #8 "you'd expect the whole scatter plot to be even higher on the graph, and more to the left."
 
As as happened often, it seems you feel threatened by its content merely because the subject of it is a Republican, and are lashing out for no justifiable reason. It's starting to get pathological.
I don't feel threatened by your non-debunks or persistent political impoliteness. I lashed out at the degradation of quality on Metabunk, that used to be about POLITE and USEFUL debunks to reach people on the fence who may google an issue.
You may think my pointing out your ineffective communication styles as "pathological" but it got me a thank you in the dedication of Mick's book. If y'all had just used the disagree button instead of [pathoglogically] attacking me, that would have been the end of it.
 
No. These should not be the same. These ratios should be what the votes cast are. There's nothing wrong with these ratios being different. We've been over this back in 2020, I can find the thread for you if you like.
that is what Gilbert is claiming, not what i personally think. oy.

You can claim anything you like if you don't bring the evidence.

It is not enough to claim something should be a certain way, you need to connect that claim to reality, with evidence

yup. that's what i've been saying.
 
We can now add Gilbert's 25% line, and it becomes clear why the data supports both:
save-3.png
nothing_to_see_here-1.png

Gilbert's allegation that a fair election requires this graph to be a straight line is a geometric error, and claimed "illegally".
oh yay! you figured it out. (fyi, even though i'm a stupid paranoid pathological lunatic, my first thought was "why didnt Gilbert just start his line at 0?") The visual is very useful to readers.
 
I can put together an interactive version so that it can be verified that whenever one side's voters avoids mail-in voting, the non-mail-in vs. mail-in plot will have the deviation you show from the nonsense y=ax+0 claim. Of course, outliers being rare, and the curve being quite gentle, seeing the curve in real data is rare,
the problem is that even my assumption (that voters for a specific candidate have a fixed likelihood to use mail voting) isn't necessarily true, especially across different demographics.

I'm simply saying that if it was true (which is as least as reasonable as the assumptions Gilbert makes), Gilbert would be wrong; but we're probably both wrong.

The point is, don't expect a straight line.
 
Last edited:

Latest posts

Trending content

Back
Top